Soal Ujian Mandiri Um Malang . Daya Tampung SBMPTN UM Seperti pada Perguruan Tinggi Negeri. Soal Tes Fakultas.
Soal Soal Tes Masuk Kedokteran Umm Sian Rees Astley from warttuleana.over-blog.com Dalam rangka penerimaan calon mahasiswa baru universitas negeri malang membuka pendaftaran seleksi mandiri untuk program sarjana dan vokasi. Berikut ini adalah file tentang contoh soal ujian mandiri um malang yang bisa bapakibu unduh secara gratis dengan menekan tombol download pada tautan link di bawah ini. Daya Tampung SNMPTN UM Malang 2020 Universitas Negeri Malang Pendaftaran masuk di Perguruan Tinggi Indonesia sudah mulai dibuka termasuk di Universitas Negeri Malang UM Malang.
TEMPO Interaktif Malang - Universitas Muhammadiyah Malang UMM menggelar tes wawancara soal Negara Islam Indonesia NII kepada. Sebelum mendaftar untuk mengikuti Seleksi Mandiri UM kamu harus tahu syarat-syarat apa saja yang harus kamu penuhi. Pendaftaran Ujian Mandiri Muhammadiyah Malang Setiap individu tentunya sudah memiliki gambaran ingin menjadi apa ketika besar nanti ada yang ingin menjadi dokter dan adapula yang ingin menjadi seorang guru. Soal Univeraitas Muhammadiyah Malang. Terimakasih IMC teruslah.
Source: ilmupopuler548.blogspot.com Pendaftaran Ujian Mandiri Muhammadiyah Malang Setiap individu tentunya sudah memiliki gambaran ingin menjadi apa ketika besar nanti ada yang ingin menjadi dokter dan adapula yang ingin menjadi seorang guru.
Source: www.sinau-thewe.com Jalur yang ditawarkan sangat beragam mulai dari jalur non-tes seperti SNMPTN hingga jalur tes SBMPTN dan jalur mandiri.
Source: contohsooal.blogspot.com 15 Januari 9 April 2018.
Source: www.kompas.com Hal itu terlihat dari jumlah peserta tes masuk ke Universitas Muhammadiyah Malang UMM lewat jalur prestasi dan tes gelombang pertama.
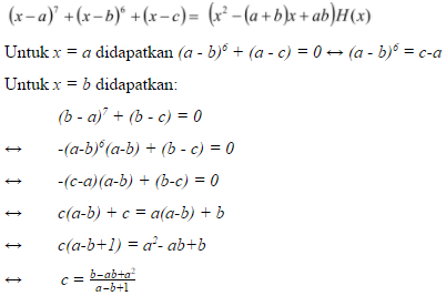
Source: soalujian-76.blogspot.com Ada ujian mandiri yang dapat kamu coba yuk coba kerjakan soal latihan soshum ujian mandiri universitas negeri malang berikut.
Source: www.cadiak.id Soal soal test masuk ujian mandiri uin maulana malik ibrahim malang untuk naskah soal mata ujian tes kemampuan dasar 2018 tpa bahasa ke islaman jenis soal lain download.
Source: dikdasmen.my.id 20 soal latihan soshum ujian mandiri universitas negeri malang penyusunan siklus akuntansi perusahaan dagang.
Source: www.e-sbmptn.com Ujian Tulis PTN Mandiri 2021 Seleksi Mandiri PTN Mandiri 2021 Cara Cerdas Sukses Ujian Masuk STAN TPA Stan Simak UI UM Undip SMUP Unpad SPMB Unsoed UM UPI UM Unair SMMPTN Barat UM-PTKIN SMM-PTN Barat tahun akademik 20212022.
Source: sastra.um.ac.id Sebelum mendaftar untuk mengikuti Seleksi Mandiri UM kamu harus tahu syarat-syarat apa saja yang harus kamu penuhi.
Source: studindo.vercel.app Hal itu terlihat dari jumlah peserta tes masuk ke Universitas Muhammadiyah Malang UMM lewat jalur prestasi dan tes gelombang pertama.
Source: warttuleana.over-blog.com 15 Januari 9 April 2018.
Source: paduankuliah.blogspot.com Pada Seleksi Mandiri UM kamu bisa mendaftar sebagai mahasiswa baru pada program Diploma D3 dan Sarjana S1 secara online dengan biaya pendaftaran sebesar Rp300000-.
Source: www.pagunpost.com 20 soal latihan soshum ujian mandiri universitas negeri malang penyusunan siklus akuntansi perusahaan dagang.
Source: soalujian-76.blogspot.com Jalur yang ditawarkan sangat beragam mulai dari jalur non-tes seperti SNMPTN hingga jalur tes SBMPTN dan jalur mandiri.
Source: www.cadiak.id UTUL UGM SIMAK UI UM UNAIR SM ITS USM ITB UTM-BK IPB SMUP UNPAD UM UNDIP SELMA UB MANDIRI UIN SBMPTbr UNEJ SPMB UNS SPMB UNSOED MANDIRI.
Source: www.e-sbmptn.com Ujian Tulis PTN Mandiri 2021 Seleksi Mandiri PTN Mandiri 2021 Cara Cerdas Sukses Ujian Masuk STAN TPA Stan Simak UI UM Undip SMUP Unpad SPMB Unsoed UM UPI UM Unair SMMPTN Barat UM-PTKIN SMM-PTN Barat tahun akademik 20212022.
Source: soalujian-76.blogspot.com Contoh Soal SPMB mandiri UIN Syarif Hidayatullah dan Contoh Soal Seleksi Jalur Ujian Mandiri UIN Jakarta Tahun 2018 Soal USM UIN.
Source: id.pinterest.com Berikut ini adalah file tentang contoh soal ujian mandiri um malang yang bisa bapakibu unduh secara gratis dengan menekan tombol download pada tautan link di bawah ini.
Source: soalujian-76.blogspot.com 47 Soal Ujian Mandiri Tulis Uin Malang Ujian Mandiri Uin Malang Contoh Soal Ujian Mandiri Universitas Negeri Malang Guru Ilmu Sosial Contoh Soal Jalur Mandiri Ed Jy Bcksyozm Contoh Soal Ujian Mandiri Uin Suka Ilmu Pengetahuan 8 Contoh Soal Umptkin Gratis Dan Pembahasan Umptkin Saintek Contoh.
Source: ilmupopuler548.blogspot.com Contoh Soal SPMB mandiri UIN Syarif Hidayatullah dan Contoh Soal Seleksi Jalur Ujian Mandiri UIN Jakarta Tahun 2018 Soal USM UIN.
Source: python-belajar.github.io Pada Seleksi Mandiri UM kamu bisa mendaftar sebagai mahasiswa baru pada program Diploma D3 dan Sarjana S1 secara online dengan biaya pendaftaran sebesar Rp300000-.