Rumus Mencari Ka

Situs web pendidikan Indonesia terbaik. Cari apa pun tentang materi pendidikan di situs web ini.

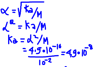
Rumus Mencari Ka. Rumus cara menentukan daya kontaktor untuk start delta. Untuk menemukan angka yang lebih besar daripada angka terbesar disebut sebagai ekstrapolasi.

Kekuatan Asam Basa Dan Ph Larutan Kimia Kelas Xi
Kekuatan Asam Basa Dan Ph Larutan Kimia Kelas Xi from www.slideshare.net

Pada awal pengerjaan atau baris pertama selalu diberi nilai 0 baris w selalu sama dengan nol rumus Mencari nilai kolom Ka Mencari nilai kolom Kb Rumus. Untuk mendapatkan sebuah jarak kalian dapat menggunakan rumus jarak yakni seperti di bawah ini. 1Jika 50 mL larutan KOH 05 M dicampurkan dengan 50 mL larutan CH3COOH 05 M maka hitung pH campuran yang terjadi Ka 10-6.

Jika Ka Kb maka larutannya bersifat asam pH 7 c.

T waktu tempuh jam S jarak km. Jika Ka Kb maka larutannya bersifat asam pH 7 c. If playback doesnt begin shortly try restarting your device. Z a0 - αZ a- Z aZ a-.